0:00
/
0:00
Transcript

This Fortnight in Medicine XVII

Carotid revascularization, vagal nerve simulation, and some friendly disagreement.

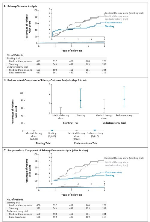
Medical Management and Revascularization for Asymptomatic Carotid Stenosis

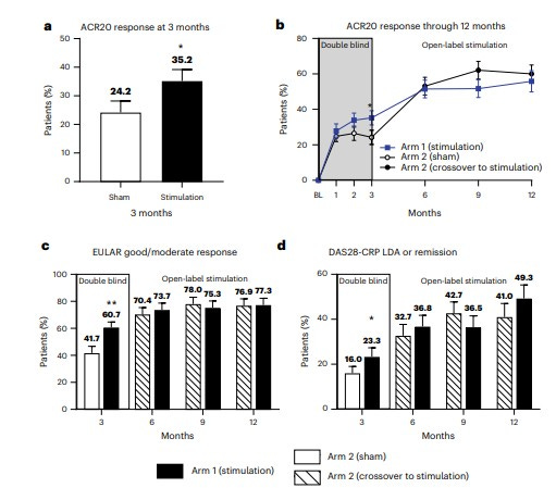
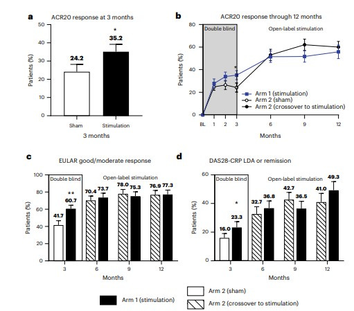
Vagus nerve-mediated neuroimmune modulation for rheumatoid arthritis: a pivotal randomized controlled trial

We spent quite a bit of time talking about blinding. This is the table on the adequacy of blinding from the supplement. It does seem like blinding was less than perfect.

Discussion about this video

User's avatar

Ready for more?